Aşağıda, vergi inceleme raporlarında kasa adatlandırması yönünden yapılan tespit…
-
Git
: -
Favorilere ekle veya çıkar
-
ᴀ⇣ Yazı karakterini küçült
Aşağıda bir kısmını gördüğünüz bu dokümana sadece Profesyonel + pakete abone olan üyelerimiz erişebilir.
3.2.1. Kasa Adatlandırması
Burada transfer fiyatlandırması vergi incelemelerinde 100- Kasa hesabı üzerinden…
VAKA 1:Kasa Adatlandırması(100- Kasa)…
Yapılan Tespitler: Mükellef kurumun 2018hesap dönemi kasa hesabı bakiyelerinin vergi inceleme tutanağı ekindeki gibi olduğu tespit edilmiştir. Mükellef kurumun defter ve belgelerinin incelenmesi sonucunda
Yorum ve Eleştiriler: İktisadi amaçla kurulan bir şirketin faaliyetlerini…
Söz konusu kasa hesabı bakiyesinin muhasebe kayıtlarında yer aldığının kurumlar vergisi…
Bu nedenle, mükellef kurumun 100- Kasa Hesabında günlük nakit ihtiyacının üzerinde…
100- Kasa hesabının ortaklara finansman hizmeti olarak kullandırıldığının tespitinde,…
Şirketin kanuni temsilcisine, 100- Kasa hesabında yer alan yüksek tutarlı bakiyelerin…
Mükellef kurumun yaptığı iş hacmi, mükellef ifadesi ve 100- Kasa hesabının günlük…
Emsal bedel uygulanması için emsal faiz oranı olarak kabul edilmek üzere, T.C. Merkez…
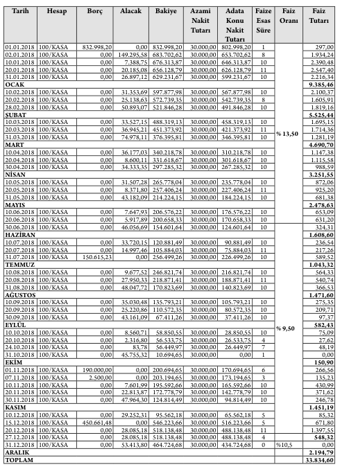
Mükellef kuruma ait 100- Kasa hesabının adatlandırmasına ilişkin ayrıntılı tablo…
Tablo 3.1. Mükellef Kuruma Adat Hesaplaması Örneği (100-Kasa Hesabı)…
Yukarıda ayrıntılı dökümü yapılan 100- Kasa Hesabı bakiyesi için yapılan adatlandırma…
Başka bir anlatımla mükellef kurum karşılıksız kullandırdığı paralara faiz hesaplamayarak…
Mükellef kurumun kasa adatlandırması sonucunda 33.834,60-TL faiz geliri Mükellef…
KDV yönünden de hesaplanan faiz tutarları üzerinden %18 oranında KDV hesaplanarak…
Vaka Hakkında Değerlendirmeler: Vakada görüleceği üzere, karşılıksız…
Aslında bu yorumdan ziyade, emsallere uygun bedel tayin etme yöntemleri karşılaştırılabilir…
Yukarıda açıklandığı üzere, Transfer Fiyatlandırması Genel Tebliği’nde, emsal bedel…
Örneğin, aynı banka bir işletme ile diğerine aynı tutar ve vadedeki kredi için farklı…
KVK’nın 13. maddesinde düzenlenen transfer fiyatlandırmasının şartları aynı maddede…
Diğer yandan, ilgili raporlarda bazı mahkeme kararları da destekleyici yorum olarak…
Önceki bölümlerde (1.2. başlığında) açıklandığı üzere, mülga KVK’de yer alan örtülü…
